
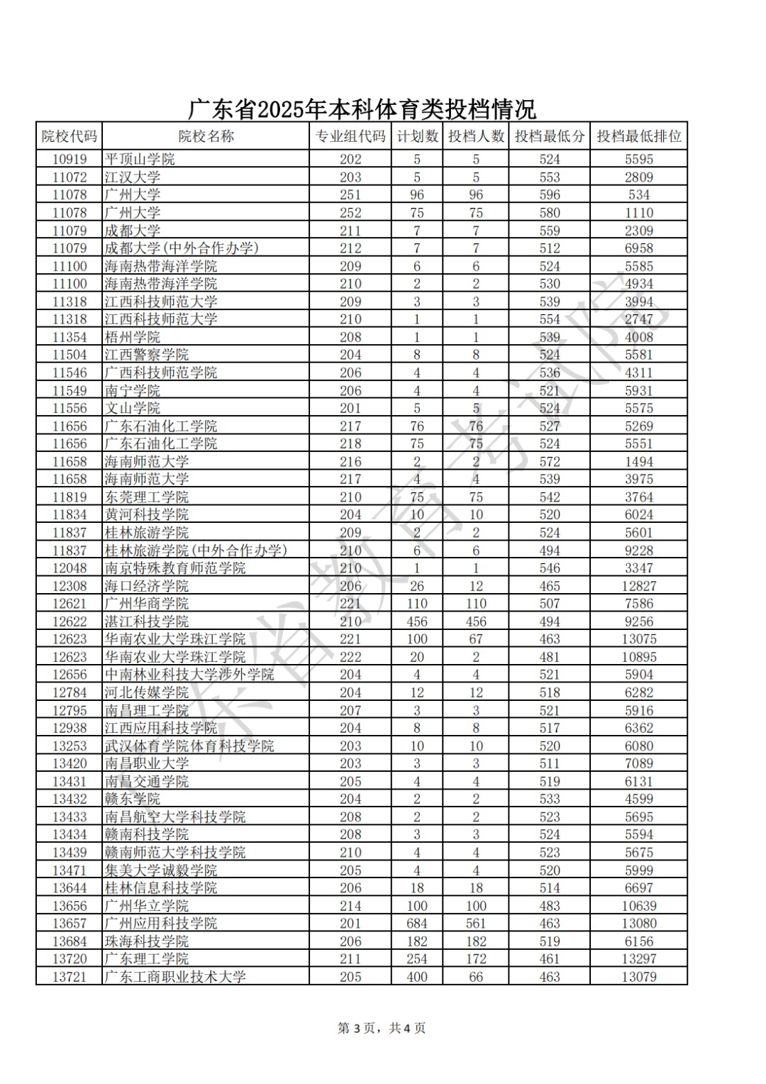
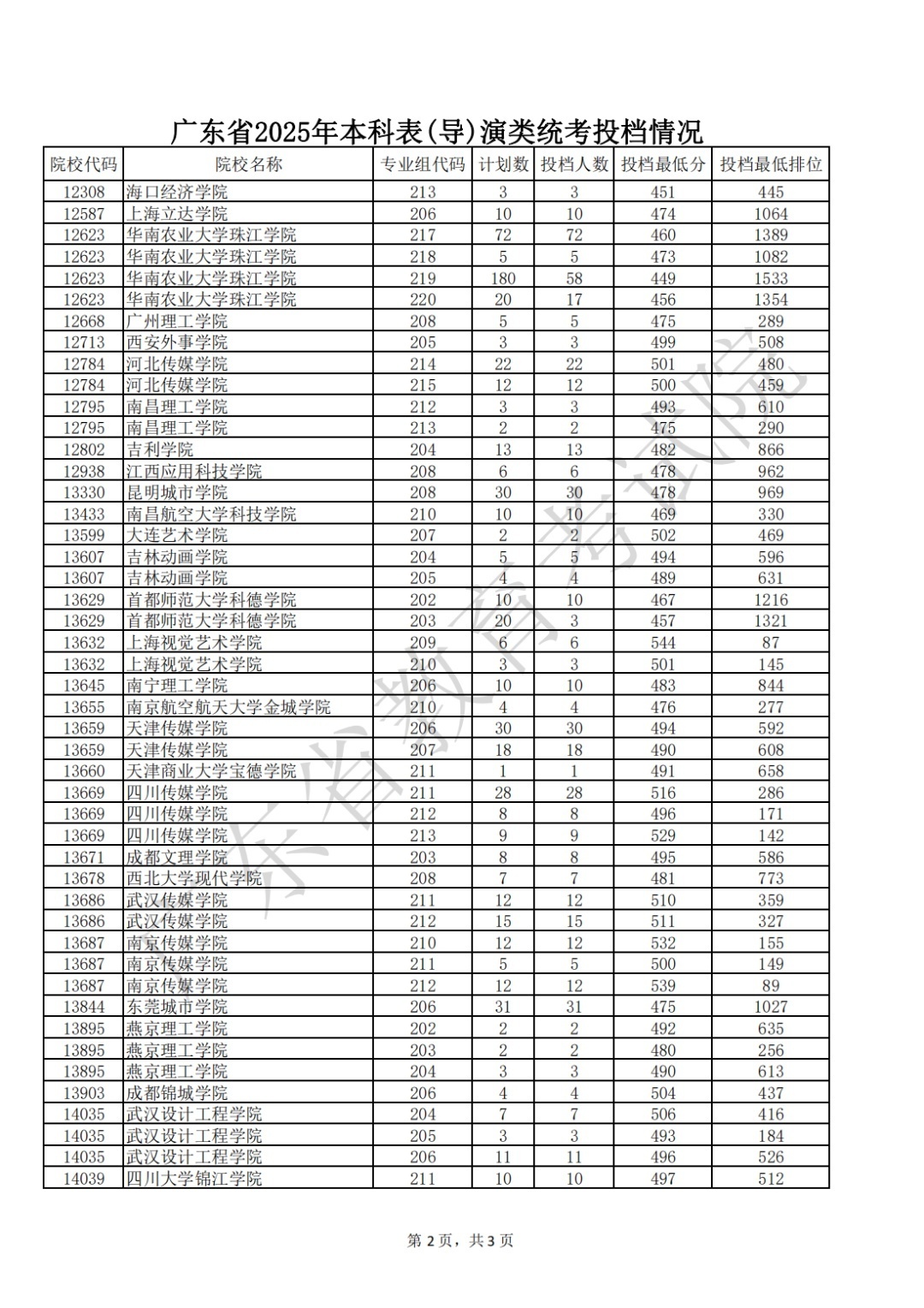
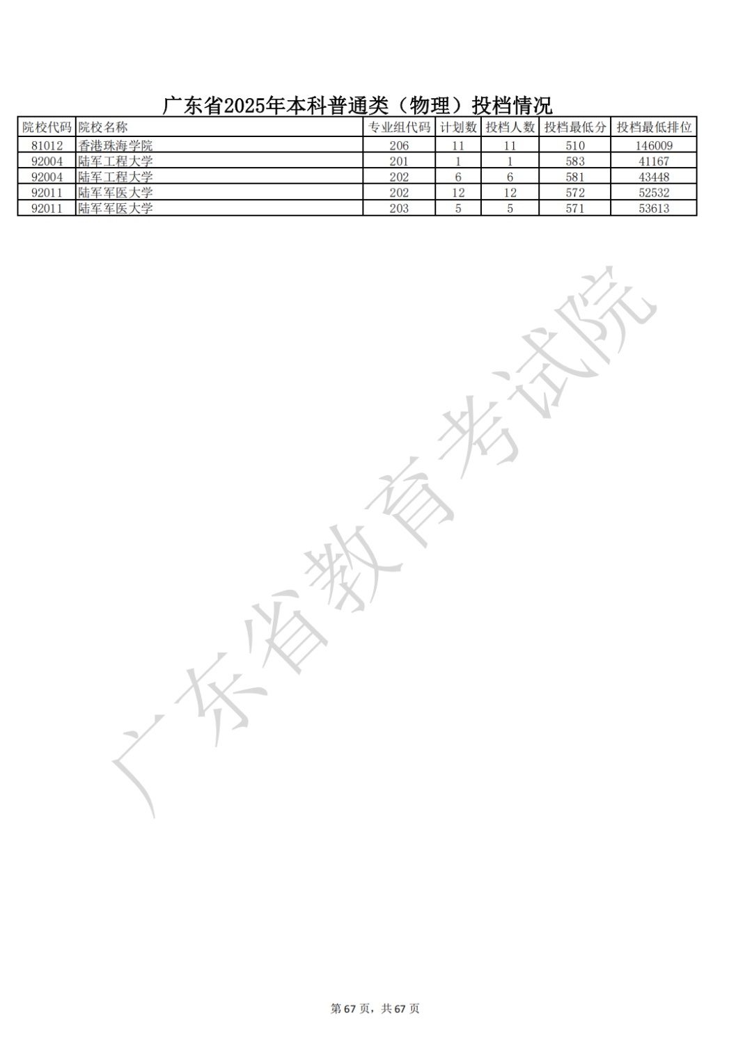
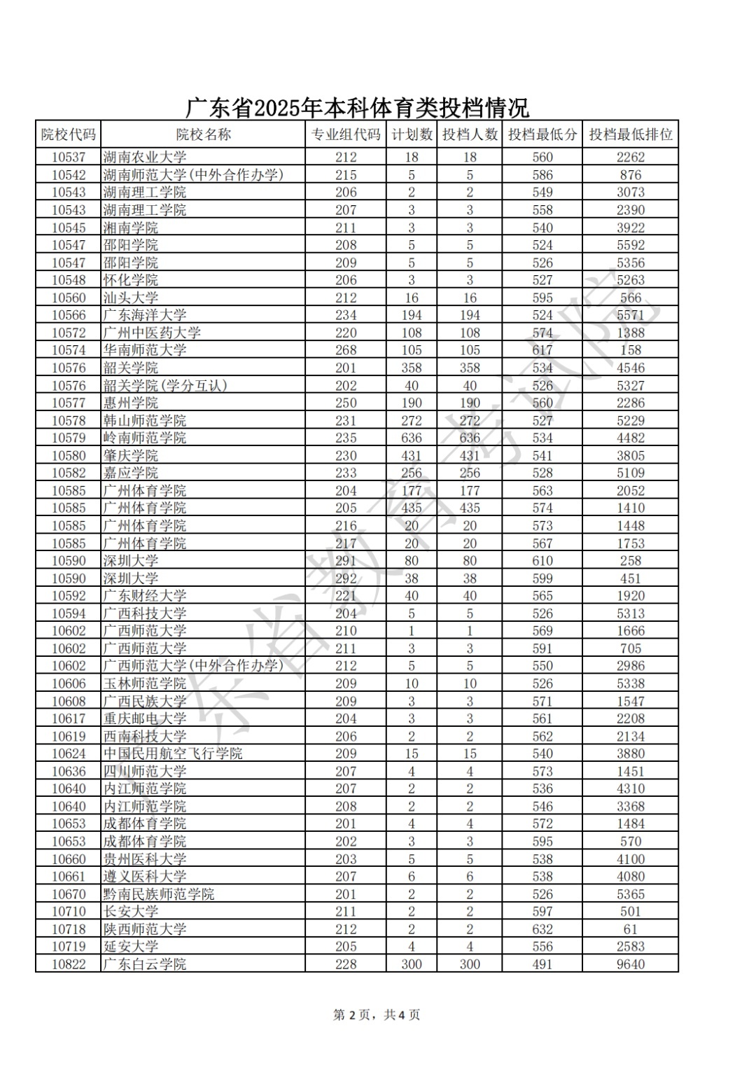
我省普通高考本科批次正式投档,共投出考生317135人,其中:普通类(历史)投出66013人,普通类(物理)投出218024人,艺体类统考投出考生33098人。艺体类统考考生中,体育类统考投出6879人,音乐类统考投出4625人,舞蹈类统考投出1343人,美术与设计类统考投出17118人万联证券,书法类统考投出388人,播音与主持类统考投出1671人,表(导)演类统考投出1074人。
今年,高水平大学在粤招生生源充足,北京大学、南开大学、上海交通大学、中国科学技术大学、西安交通大学等高校增加招生计划。普通本科批次大部分院校均一次投档即满档,但部分招生量大的民办院校、收费较高的院校专业组和有特殊要求的院校专业仍存在缺额计划。
根据日程安排,本科批次录取工作预计7月24日结束,届时将对有缺额计划的院校专业组进行征集志愿。
每天17:00前,省教育考试院将通过短信及微信小程序等方式公布截至当天11:30已录取的考生信息。请广大考生密切关注广东省教育考试院微信公众号,及时获取权威信息。
本科批投档情况电子版可在“广东教育传媒”公众号对话框回复“本科”获取。
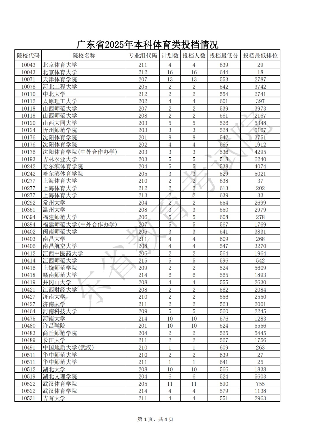
具体投档信息详情如下:


同学
你被哪所高校录取?
快来文后留言分享!
根据省教育考试院公布的2025年高考各批次录取日程表,本科批次艺体类院校7月17-24日进行投档,本科批次普通类院校7月18-24日进行投档。请广大考生、家长密切关注广东省教育考试院官网官微有关公告,及时获取相关信息。
2025年普通高校招生录取结果由省教育考试院统一发布。普通高校招生录取期间,每天17:00前省教育考试院将截至当天11:30已经录取的考生数据,通过广东省教育考试院官方微信(ID:gdsksy)小程序、手机短信和百度小程序公布。
我们可以通过高校官网提供的录取查询入口来查询录取专业。为方便考生查询,小媒君整理好了全省超百所高校录取查询口,后续仍会持续更新,点此查看详情。
建议广大考生及家长近期请多关注“广东教育传媒”微信公众号,你将第一时间获取广东高考权威资讯(投档录取进程、录取数据公布及高校录取专业查询汇总等),助你成功进入心仪的高校!
*有什么想说的,快来给小媒君留言*
来源:广东省教育考试院
转载时请标明转自广东教育传媒万联证券,投稿或商业合作回复关键词 投稿/合作
美港通证券提示:文章来自网络,不代表本站观点。